Упр.825 ГДЗ Никольский Потапов 8 класс (Алгебра)
Решение #1

Рассмотрим вариант решения задания из учебника Никольский, Потапов 8 класс, Просвещение:
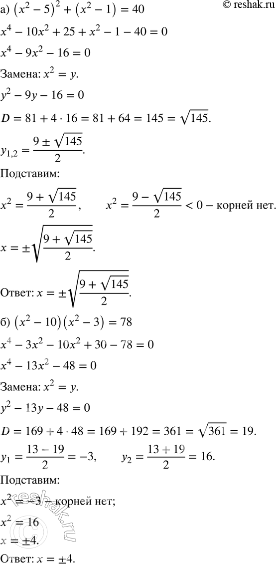
825 а) (х2 - 5)2 + (х2 - 1) = 40;
б) (х2 - 10) (х2 - 3) = 78;
в) (х2 + 1) (х2 - 3) = 15;
г) (у2 - 3)2 = 2(15 - у2);
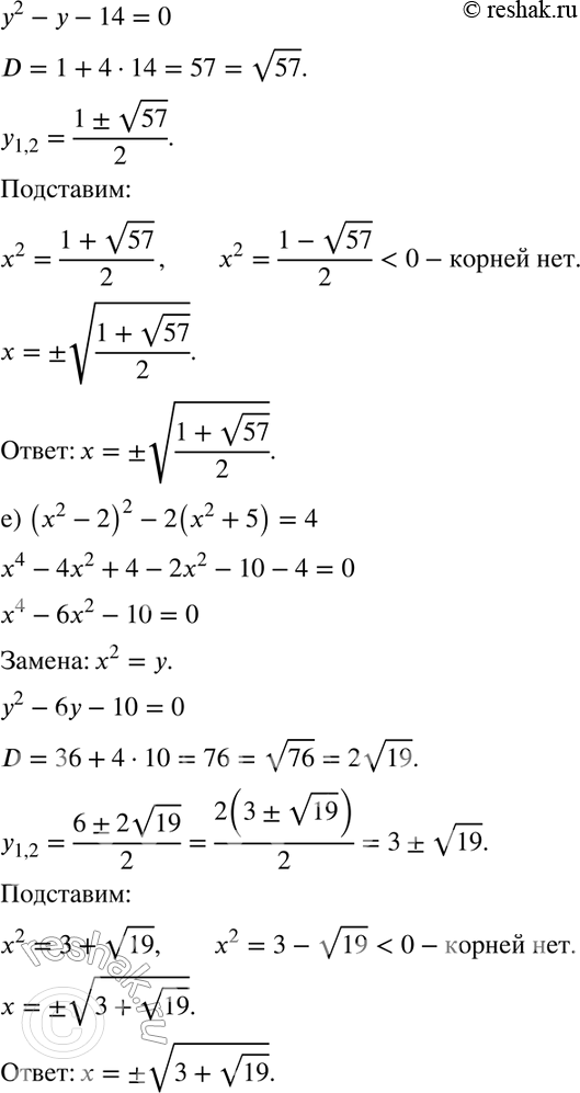
д) (х2 - 1)2 - 12 = 3 - х2;
е) (х2 - 2)2 - 2 (х2 + 5) = 4.
*размещая тексты в комментариях ниже, вы автоматически соглашаетесь с пользовательским соглашением