Упр.82 ГДЗ Дорофеев Суворова 8 класс (Алгебра)
Решение #1

Рассмотрим вариант решения задания из учебника Дорофеев, Суворова, Бунимович 8 класс, Просвещение:
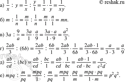
82. Найдите частное (пример 5 из текста):
а) 1/x :y;
б) m:1/n;
в) 3a:9/a;
г) 2ab/3 :(6b);
д) ab/cd :(bc);
е) mpq:m/pq.
*размещая тексты в комментариях ниже, вы автоматически соглашаетесь с пользовательским соглашением