Упр.800 ГДЗ Колягин Ткачёва 7 класс (Алгебра)
Решение #1

Рассмотрим вариант решения задания из учебника Колягин, Ткачёва, Фёдорова 7 класс, Просвещение:
800. Выполнить действия:
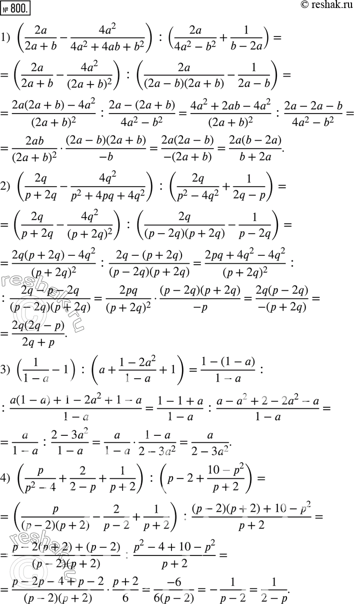
1) (2a/(2a+b)-(4a^2)/(4a^2+4ab+b^2 )) :(2a/(4a^2-b^2 )+1/(b-2a));
2) (2q/(p+2q)-(4q^2)/(p^2+4pq+4q^2 )) :(2q/(p^2-4q^2 )+1/(2q-p));
3) (1/(1-a)-1) :(a+(1-2a^2)/(1-a)+1);
4) (p/(p^2-4)+2/(2-p)+1/(p+2)) :(p-2+(10-p^2)/(p+2)).
*размещая тексты в комментариях ниже, вы автоматически соглашаетесь с пользовательским соглашением