Упр.790 ГДЗ Мерзляк Полонский 7 класс (Алгебра)
Решение #1
Решение #2

Рассмотрим вариант решения задания из учебника Мерзляк, Полонская, Якир 7 класс, Вентана-Граф:
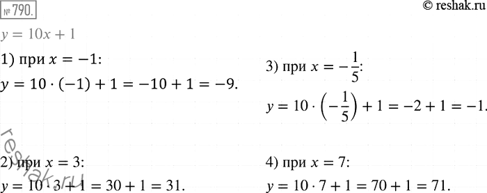
790 Функция задана формулой y = 10х + 1. Найдите значение у, если:
1)х = -1;
2)x=3;
3)x=-1/5;
4)x=7.
*размещая тексты в комментариях ниже, вы автоматически соглашаетесь с пользовательским соглашением