Упр.751 ГДЗ Колягин Ткачёва 7 класс (Алгебра)
Решение #1

Рассмотрим вариант решения задания из учебника Колягин, Ткачёва, Фёдорова 7 класс, Просвещение:
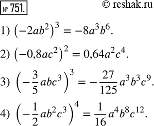
751. Возвести одночлен в степень:
1) (-2ab^2 )^3;
2) (-0,8ac^2 )^2;
3) (-3/5 abc^3 )^3;
4) (-1/2 ab^2 c^3 )^4.
*размещая тексты в комментариях ниже, вы автоматически соглашаетесь с пользовательским соглашением