Упр.720 ГДЗ Мерзляк Полонский 7 класс (Алгебра)
Решение #1
Решение #2

Рассмотрим вариант решения задания из учебника Мерзляк, Полонская, Якир 7 класс, Вентана-Граф:
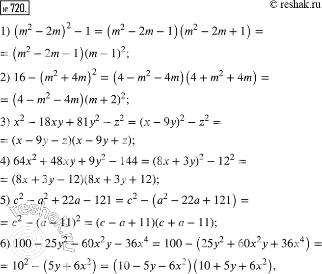
720. Представьте в виде произведения выражение:
1) (m2 - 2m)2 - 1;
2) 16 - (m2 + 4m)2;
3) х2 -18ху + 81у2 - z2;
4) 64х2 + 48ху + 9у2 - 144;
5) с2 - а2 + 22а -121;
6) 100 - 25у2 - 60х2у - 36х4.
*размещая тексты в комментариях ниже, вы автоматически соглашаетесь с пользовательским соглашением