Упр.7.8 ГДЗ Мерзляк Поляков 7 класс (Алгебра)
Решение #1

Рассмотрим вариант решения задания из учебника Мерзляк, Поляков 7 класс, Вентана-Граф:
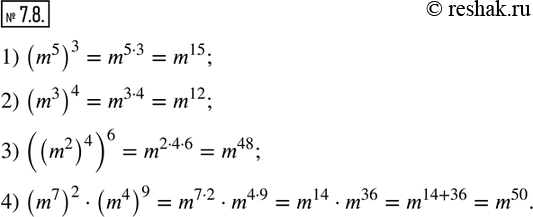
7.8. Представьте в виде степени с основанием m выражение:
1) (m^5 )^3; 2) (m^3 )^4; 3) ((m^2 )^4 )^6; 4) (m^7 )^2•(m^4 )^9.
*размещая тексты в комментариях ниже, вы автоматически соглашаетесь с пользовательским соглашением