Упр.7.2 ГДЗ Мерзляк Поляков 7 класс (Алгебра)
Решение #1

Рассмотрим вариант решения задания из учебника Мерзляк, Поляков 7 класс, Вентана-Граф:
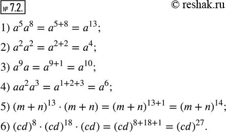
7.2. Представьте в виде степени выражение:
1) a^5 a^8; 2) a^2 a^2;
3) a^9 a; 4) aa^2 a^3;
5) (m+n)^13•(m+n); 6) (cd)^8•(cd)^18•(cd).
*размещая тексты в комментариях ниже, вы автоматически соглашаетесь с пользовательским соглашением