Упр.697 ГДЗ Мерзляк Полонский 7 класс (Алгебра)
Решение #1
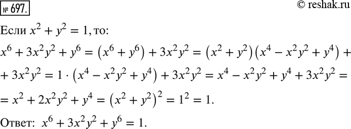
Решение #2

Рассмотрим вариант решения задания из учебника Мерзляк, Полонская, Якир 7 класс, Вентана-Граф:
697. Известно, что числа х и у таковы, что х2 + у2 =1. Найдите значение выражения х6 + 3х2у2 + у6.
*размещая тексты в комментариях ниже, вы автоматически соглашаетесь с пользовательским соглашением