Упр.680 ГДЗ Дорофеев Суворова 9 класс (Алгебра)
Решение #1

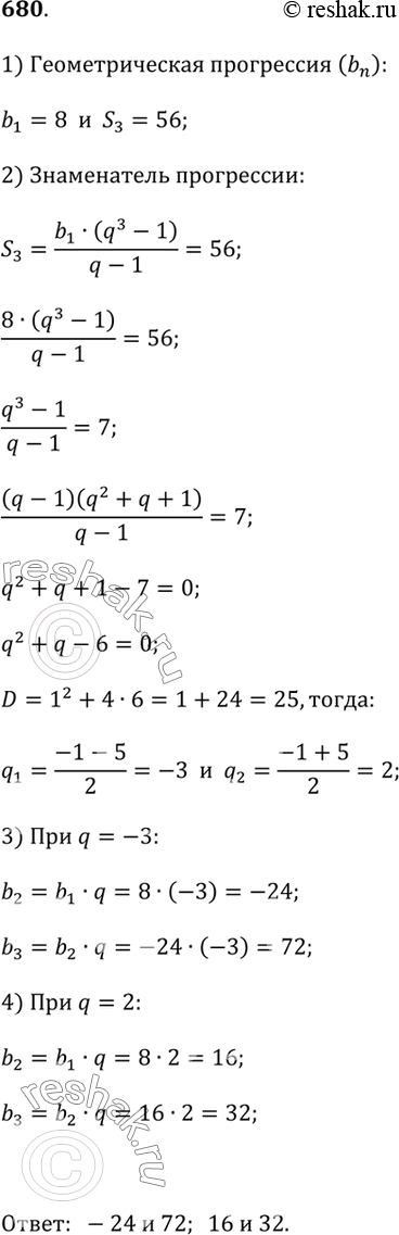
Рассмотрим вариант решения задания из учебника Дорофеев, Суворова, Бунимович 9 класс, Просвещение:
680. Известно, что три целых числа, сумма которых равна 56, составляют геометрическую прогрессию. Первое из этих чисел равно 8. Найдите два других числа.
*размещая тексты в комментариях ниже, вы автоматически соглашаетесь с пользовательским соглашением