Упр.644 ГДЗ Никольский Потапов 8 класс (Алгебра)
Решение #1

Рассмотрим вариант решения задания из учебника Никольский, Потапов 8 класс, Просвещение:
Упростите выражение (644—648):
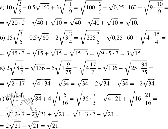
644 а) 10 корень 2/5 - 0,5 корень 160 + 3 корень 1*1/9;
б) 15 корень 3/5 - 0,5 корень 60 + 2 корень 3*3/4;
в) 2 корень 8*1/2 - корень 136 - 5 корень 1*9/25;
г) 6 корень 2*1/3 - корень 84 + 4 корень 1*5/16.
*размещая тексты в комментариях ниже, вы автоматически соглашаетесь с пользовательским соглашением