Упр.643 ГДЗ Никольский Потапов 9 класс (Алгебра)

Решение #1

Изображение 643. Вычислите:а) cos 5пи/12+cos пи/12б) cos 7пи/12-cos пи/12в) sin 5пи/12+sin пи/12г) sin 7пи/12-sin...

Решение #2

Изображение 643. Вычислите:а) cos 5пи/12+cos пи/12б) cos 7пи/12-cos пи/12в) sin 5пи/12+sin пи/12г) sin 7пи/12-sin...

Рассмотрим вариант решения задания из учебника Никольский, Потапов 9 класс, Просвещение:
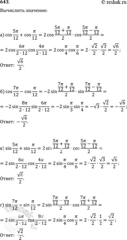
643. Вычислите:
а) cos 5пи/12+cos пи/12
б) cos 7пи/12-cos пи/12
в) sin 5пи/12+sin пи/12
г) sin 7пи/12-sin пи/12
*Цитирирование задания со ссылкой на учебник производится исключительно в учебных целях для лучшего понимания разбора решения задания.
*размещая тексты в комментариях ниже, вы автоматически соглашаетесь с пользовательским соглашением