Упр.6.39 ГДЗ Мерзляк Поляков 7 класс (Алгебра)
Решение #1

Рассмотрим вариант решения задания из учебника Мерзляк, Поляков 7 класс, Вентана-Граф:
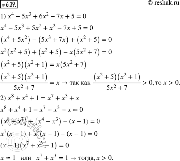
6.39. Докажите, что не имеет отрицательных корней уравнение:
1) x^4-5x^3+6x^2-7x+5=0; 2) x^8+x^4+1=x^7+x^3+x.
*размещая тексты в комментариях ниже, вы автоматически соглашаетесь с пользовательским соглашением