Упр.573 ГДЗ Мерзляк Полонский 7 класс (Алгебра)
Решение #1
Решение #2

Рассмотрим вариант решения задания из учебника Мерзляк, Полонская, Якир 7 класс, Вентана-Граф:
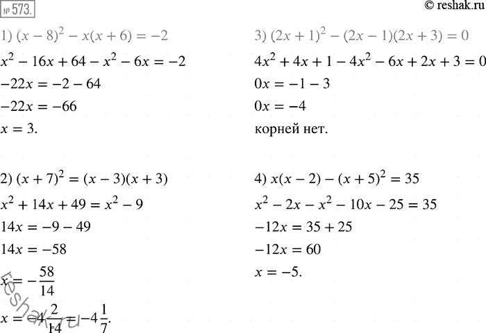
573 Решите уравнение:
1) (х - 8)2 - х(х + 6) = -2;
2) (х + 7)2 = (х - 3)(х + 3);
3) (2х + 1)2 - (2х - 1)(2х + 3) = 0;
4) х(х - 2) - (х + 5)2 = 35.
*размещая тексты в комментариях ниже, вы автоматически соглашаетесь с пользовательским соглашением