Упр.567 ГДЗ Колягин Ткачёва 9 класс (Алгебра)
Решение #1

Рассмотрим вариант решения задания из учебника Колягин, Ткачёва, Фёдорова 9 класс, Просвещение:
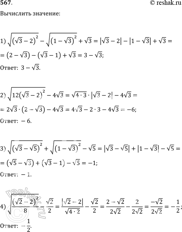
567. Вычислить:
1) v(v3-2)^2-v(1-v3)^2+v3; 2) v(12(v3-2)^2)-4v3;
3) v(v3-v5)^2+v(1-v3)^2-v5; 4) v((v2-2)^2/8)-v2/2.
*размещая тексты в комментариях ниже, вы автоматически соглашаетесь с пользовательским соглашением