Упр.561 ГДЗ Никольский Потапов 9 класс (Алгебра)

Решение #1

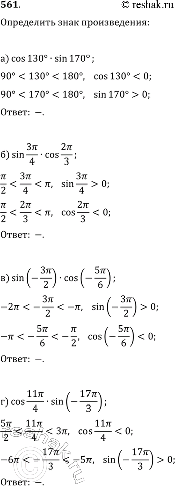
Изображение 561. Определите знак произведения:а) cos 130 градусов •sin 170 градусов   б)  sin? 3пи/4 •cos 2пи/3  в) sin(-3пи/2)•cos(-5пи/6)  г) cos11пи/4•sin(-17пи/3) ...

Решение #2

Изображение 561. Определите знак произведения:а) cos 130 градусов •sin 170 градусов   б)  sin? 3пи/4 •cos 2пи/3  в) sin(-3пи/2)•cos(-5пи/6)  г) cos11пи/4•sin(-17пи/3) ...

Рассмотрим вариант решения задания из учебника Никольский, Потапов 9 класс, Просвещение:
561. Определите знак произведения:
а) cos 130 градусов •sin 170 градусов
б) sin? 3пи/4 •cos 2пи/3
в) sin(-3пи/2)•cos(-5пи/6)
г) cos11пи/4•sin(-17пи/3)
*Цитирирование задания со ссылкой на учебник производится исключительно в учебных целях для лучшего понимания разбора решения задания.
*размещая тексты в комментариях ниже, вы автоматически соглашаетесь с пользовательским соглашением