Упр.56 ГДЗ Никольский Потапов 9 класс (Алгебра)

Решение #1

Изображение 56. а) Найдите все х, для каждого из которых значение функции у = 2х - 3 больше значения функции у = -х + 4.б) Найдите все х, для каждого из которых значение функции...

Решение #2

Изображение 56. а) Найдите все х, для каждого из которых значение функции у = 2х - 3 больше значения функции у = -х + 4.б) Найдите все х, для каждого из которых значение функции...

Рассмотрим вариант решения задания из учебника Никольский, Потапов 9 класс, Просвещение:
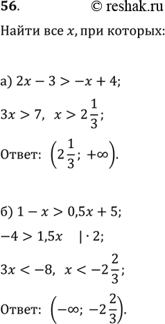
56.
а) Найдите все х, для каждого из которых значение функции у = 2х - 3 больше значения функции у = -х + 4.
б) Найдите все х, для каждого из которых значение функции у = 1-х больше значения функции у = 0,5х + 5.
*Цитирирование задания со ссылкой на учебник производится исключительно в учебных целях для лучшего понимания разбора решения задания.
*размещая тексты в комментариях ниже, вы автоматически соглашаетесь с пользовательским соглашением