Упр.548 ГДЗ Мерзляк Полонский 7 класс (Алгебра)
Решение #1
Решение #2

Рассмотрим вариант решения задания из учебника Мерзляк, Полонская, Якир 7 класс, Вентана-Граф:
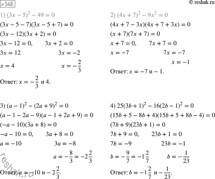
548. Решите уравнение:
1) (3х - 5)2 - 49 = 0;
2) (4х + 7)2 - 9х2 = 0;
3) (а - 1)2 - (2а + 9)2 = 0;
4) 25(3b + 1)2 - 16(2b - 1)2 = 0.
*размещая тексты в комментариях ниже, вы автоматически соглашаетесь с пользовательским соглашением