Упр.548 ГДЗ Колягин Ткачёва 9 класс (Алгебра)
Решение #1

Рассмотрим вариант решения задания из учебника Колягин, Ткачёва, Фёдорова 9 класс, Просвещение:
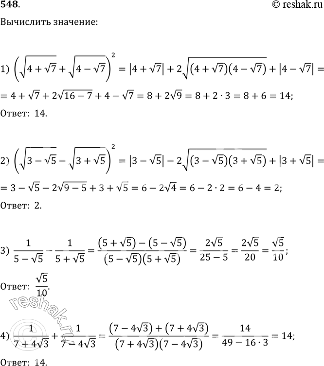
548. Вычислить:
1) (v(4+v7)+v(4-v7))^2; 2) (v(3-v5)-v(3+v5))^2;
3) 1/(5-v5)-1/(5+v5); 4) 1/(7+4v3)+1/(7-4v3).
*размещая тексты в комментариях ниже, вы автоматически соглашаетесь с пользовательским соглашением