Упр.547 ГДЗ Мерзляк Полонский 7 класс (Алгебра)
Решение #1
Решение #2

Рассмотрим вариант решения задания из учебника Мерзляк, Полонская, Якир 7 класс, Вентана-Граф:
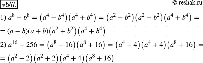
547. Разложите на множители:
1) а8 -b8; 2) а16 -256.
*размещая тексты в комментариях ниже, вы автоматически соглашаетесь с пользовательским соглашением