Упр.54 ГДЗ Колягин Ткачёва 7 класс (Алгебра)
Решение #1

Рассмотрим вариант решения задания из учебника Колягин, Ткачёва, Фёдорова 7 класс, Просвещение:
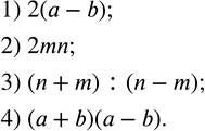
54. Записать:
1) удвоенную разность чисел a и b;
2) удвоенное произведение чисел m и n;
3) частное от деления суммы чисел n и m на их разность;
4) произведение суммы чисел a и b и их разности.
*размещая тексты в комментариях ниже, вы автоматически соглашаетесь с пользовательским соглашением