Упр.527 ГДЗ Дорофеев Суворова 9 класс (Алгебра)
Решение #1

Рассмотрим вариант решения задания из учебника Дорофеев, Суворова, Бунимович 9 класс, Просвещение:
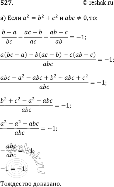
527. Докажите, что:
а) если a^2 = b^2 + c^2 и abc ? 0, то
(bc - a)/bc - (ac - b)/ac - (ab - c)/ab = -1;
б) если a + b + c = 0 и abc ? 0, то
(bc - 1)/bc + (ac - 1)/ac + (ab - 1)/ab = 3.
*размещая тексты в комментариях ниже, вы автоматически соглашаетесь с пользовательским соглашением