Упр.523 ГДЗ Дорофеев Суворова 8 класс (Алгебра)
Решение #1

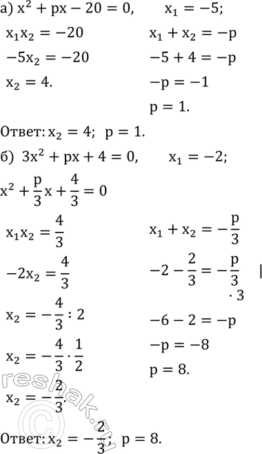
Рассмотрим вариант решения задания из учебника Дорофеев, Суворова, Бунимович 8 класс, Просвещение:
523. а) Один из корней уравнения x^2+px-20=0 равен -5. Определите другой корень и коэффициент p.
б) Один из корней уравнения 3x^2+px+4=0 равен -2. Определите другой корень и коэффициент p.
*размещая тексты в комментариях ниже, вы автоматически соглашаетесь с пользовательским соглашением