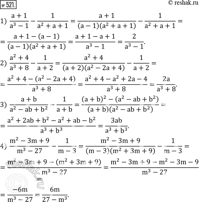
Упр.521 ГДЗ Колягин Ткачёва 7 класс (Алгебра)
Решение #1

Рассмотрим вариант решения задания из учебника Колягин, Ткачёва, Фёдорова 7 класс, Просвещение:
521. Выполнить действия:
1) (a+1)/(a^3-1)-1/(a^2+a+1);
2) (a^2+4)/(a^3+8)-1/(a+2);
3) (a+b)/(a^2-ab+b^2 )-1/(a+b);
4) (m^2-3m+9)/(m^3-27)-1/(m-3).
*размещая тексты в комментариях ниже, вы автоматически соглашаетесь с пользовательским соглашением