Упр.519 ГДЗ Дорофеев Суворова 8 класс (Алгебра)
Решение #1

Рассмотрим вариант решения задания из учебника Дорофеев, Суворова, Бунимович 8 класс, Просвещение:
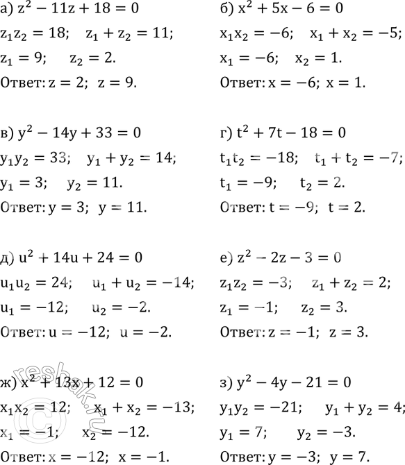
519. Решите квадратное уравнение подбором корней:
а) z^2-11z+18=0;
б) x^2+5x-6=0;
в) y^2-14y+33=0;
г) t^2+7t-18=0;
д) u^2+14u+24=0;
е) z^2-2z-3=0;
ж) x^2+13x+12=0;
з) y^2-4y-21=0.
*размещая тексты в комментариях ниже, вы автоматически соглашаетесь с пользовательским соглашением