Упр.498 ГДЗ Колягин Ткачёва 7 класс (Алгебра)
Решение #1

Рассмотрим вариант решения задания из учебника Колягин, Ткачёва, Фёдорова 7 класс, Просвещение:
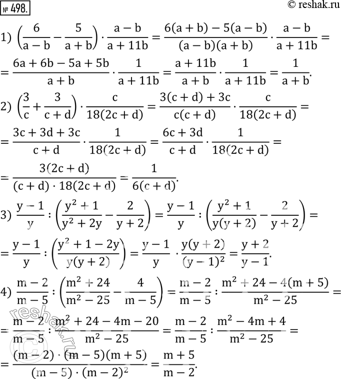
498. Выполнить действия:
1) (6/(a-b)-5/(a+b))•(a-b)/(a+11b);
2) (3/c+3/(c+d))•c/18(2c+d) ;
3) (y-1)/y :((y^2+1)/(y^2+2y)-2/(y+2));
4) (m-2)/(m-5) :((m^2+24)/(m^2-25)-4/(m-5)).
*размещая тексты в комментариях ниже, вы автоматически соглашаетесь с пользовательским соглашением