Упр.462 ГДЗ Дорофеев Суворова 8 класс (Алгебра)
Решение #1

Рассмотрим вариант решения задания из учебника Дорофеев, Суворова, Бунимович 8 класс, Просвещение:
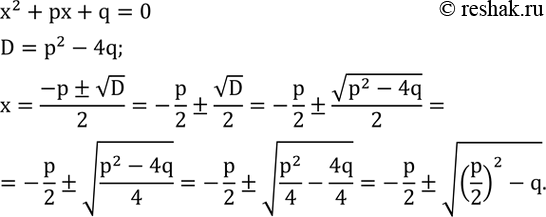
462. Корни приведенного квадратного уравнения x^2+px+q=0 можно найти по формуле x=-p/2±v((p/2)^2-q). Выведите эту формулу.
*размещая тексты в комментариях ниже, вы автоматически соглашаетесь с пользовательским соглашением