Упр.461 ГДЗ Никольский Потапов 9 класс (Алгебра)

Решение #1

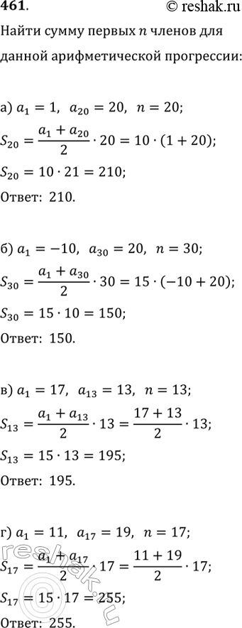
Изображение Дана арифметическая прогрессия (аn). Вычислите (461—463):461. а) a1=1,   a20=20б) a1=-10,   a30=20в) a1=17,   a13=13г) a1=11,  ...

Решение #2

Изображение Дана арифметическая прогрессия (аn). Вычислите (461—463):461. а) a1=1,   a20=20б) a1=-10,   a30=20в) a1=17,   a13=13г) a1=11,  ...

Рассмотрим вариант решения задания из учебника Никольский, Потапов 9 класс, Просвещение:
Дана арифметическая прогрессия (аn). Вычислите (461—463):
461.
а) a1=1, a20=20
б) a1=-10, a30=20
в) a1=17, a13=13
г) a1=11, a17=19
*Цитирирование задания со ссылкой на учебник производится исключительно в учебных целях для лучшего понимания разбора решения задания.
*размещая тексты в комментариях ниже, вы автоматически соглашаетесь с пользовательским соглашением