Упр.460 ГДЗ Колягин Ткачёва 7 класс (Алгебра)
Решение #1

Рассмотрим вариант решения задания из учебника Колягин, Ткачёва, Фёдорова 7 класс, Просвещение:
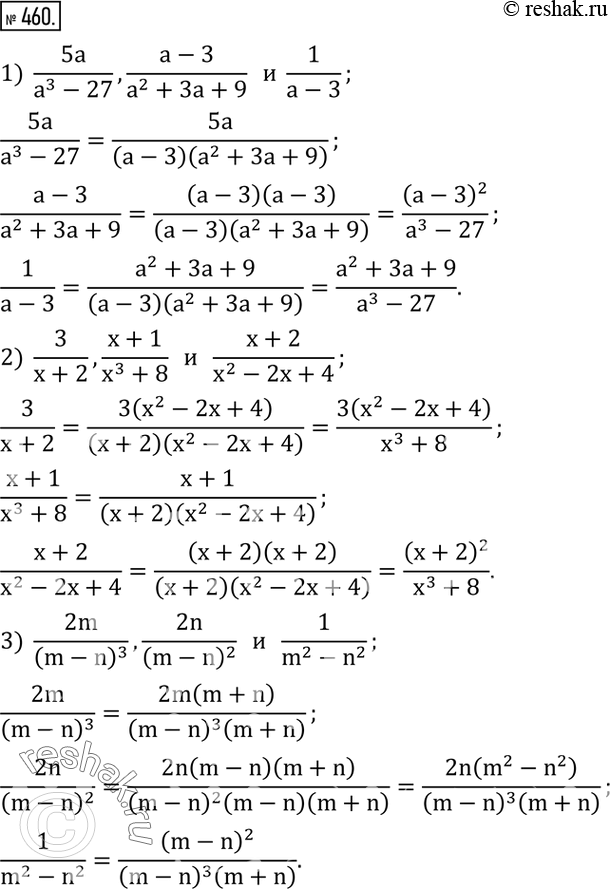
460. Привести дроби к общему знаменателю:
1) 5a/(a^3-27),(a-3)/(a^2+3a+9) и 1/(a-3);
2) 3/(x+2),(x+1)/(x^3+8) и (x+2)/(x^2-2x+4);
3) 2m/(m-n)^3 ,2n/(m-n)^2 и 1/(m^2-n^2 );
4) 1/(k^3+3k^2+3k+1),2/(k^2-1) и 3/(k^2+2k+1).
*размещая тексты в комментариях ниже, вы автоматически соглашаетесь с пользовательским соглашением