Упр.446 ГДЗ Никольский Потапов 9 класс (Алгебра)

Решение #1

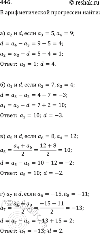
Изображение 446. В арифметической прогрессии (аn) найдите:а) a3=4;a4=9б) a2=7;a3=4в) a6=8;a4=12г)...

Решение #2

Изображение 446. В арифметической прогрессии (аn) найдите:а) a3=4;a4=9б) a2=7;a3=4в) a6=8;a4=12г)...
Дополнительное изображение

Рассмотрим вариант решения задания из учебника Никольский, Потапов 9 класс, Просвещение:
446. В арифметической прогрессии (аn) найдите:
а) a3=4;a4=9
б) a2=7;a3=4
в) a6=8;a4=12
г) a6=-15;a8=-11
*Цитирирование задания со ссылкой на учебник производится исключительно в учебных целях для лучшего понимания разбора решения задания.
*размещая тексты в комментариях ниже, вы автоматически соглашаетесь с пользовательским соглашением