Упр.414 ГДЗ Муравин 7 класс (Алгебра)

Решение #1

Изображение 414. Сократите дробь:1) (a^2 - b^2)/(a^2 - b^2 - 8a - 8b);2) (x^2 - 4x + 4y - y^2)/(x^2 - y^2);3) (b^2 - 2b + 1 - c^2)/(b^2 - c^2 - b + c);4) (100 + 2xy - x^2 -...
Дополнительное изображение
Загрузка...

Рассмотрим вариант решения задания из учебника Муравин, Муравина 7 класс, Дрофа:
414. Сократите дробь:
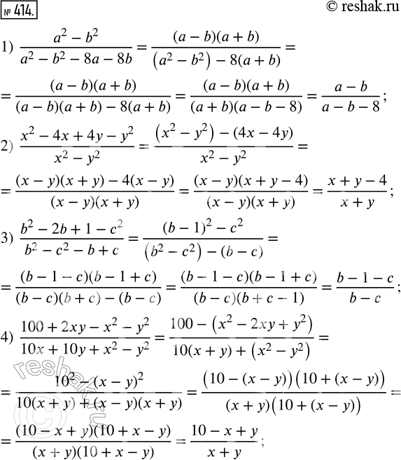
1) (a^2 - b^2)/(a^2 - b^2 - 8a - 8b);
2) (x^2 - 4x + 4y - y^2)/(x^2 - y^2);
3) (b^2 - 2b + 1 - c^2)/(b^2 - c^2 - b + c);
4) (100 + 2xy - x^2 - y^2)/(10x + 10y + x^2 - y^2);
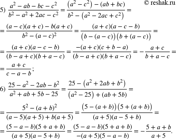
5) (a^2 - ab - bc - c^2)/(b^2 - a^2 + 2ac - c^2);
6) (25 - a^2 - 2ab - b^2)/(a^2 + ab + 5b - 25).
*Цитирирование задания со ссылкой на учебник производится исключительно в учебных целях для лучшего понимания разбора решения задания.
*размещая тексты в комментариях ниже, вы автоматически соглашаетесь с пользовательским соглашением