Упр.410 ГДЗ Дорофеев Суворова 8 класс (Алгебра)
Решение #1

Рассмотрим вариант решения задания из учебника Дорофеев, Суворова, Бунимович 8 класс, Просвещение:
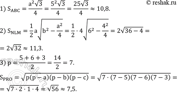
410. Известны формулы для вычисления площади S треугольника.
Равностороннего: S=(a^2 v3)/4, где a - сторона.
Равнобедренного: S=1/2 av(b^2-a^2/4), где a - основание, b - боковая сторона.
Любого: S=v(p(p-a)(p-b)(p-c) ), где a, b и с - сторона, p=(a+b+c)/2 - полупериметр.
Найдите приближенное значение площади каждого треугольника, изображенного на рисунке 2.35, используя соответствующую формулу. (Ответ дайте с одним знаком после запятой.)
*размещая тексты в комментариях ниже, вы автоматически соглашаетесь с пользовательским соглашением