Упр.4.51 ГДЗ Никольский Потапов 11 класс (Алгебра)
Решение #1
Решение #2

Рассмотрим вариант решения задания из учебника Никольский, Потапов 11 класс, Просвещение:
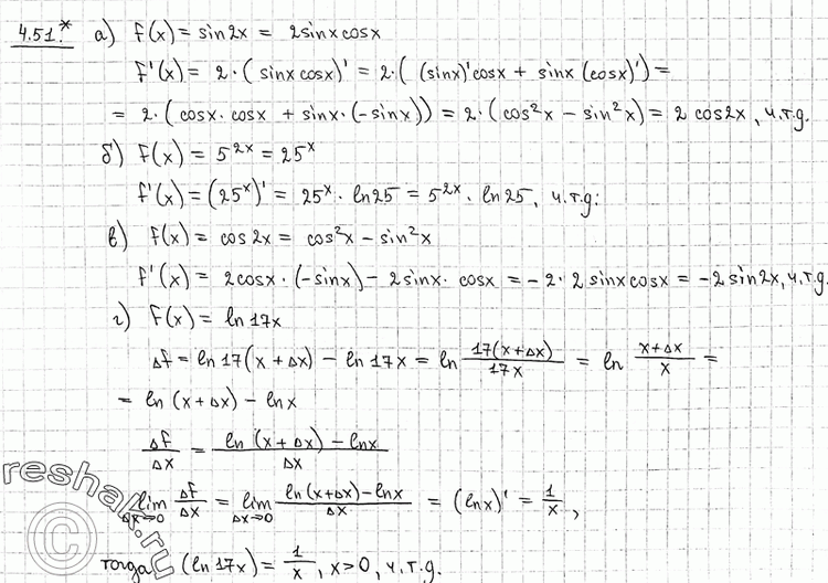
4.51* Докажите справедливость равенства:
a) (sin2x)' = 2cos2x;
б) (5^2x)' = 5^2x * ln 25;
в) (cos2x)' = -2sin2x;
г) (ln 17х)' =1/x, х > 0.
*размещая тексты в комментариях ниже, вы автоматически соглашаетесь с пользовательским соглашением