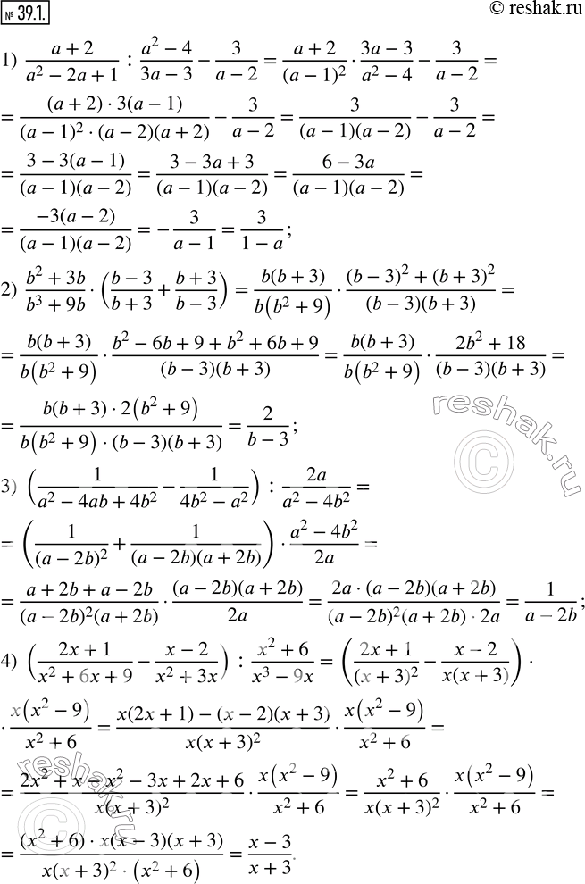
Упр.39.1 ГДЗ Мерзляк Поляков 7 класс (Алгебра)
Решение #1

Рассмотрим вариант решения задания из учебника Мерзляк, Поляков 7 класс, Вентана-Граф:
39.1. Выполните действия:
1) (a+2)/(a^2-2a+1) : (a^2-4)/(3a-3)-3/(a-2);
2) (b^2+3b)/(b^3+9b)·((b-3)/(b+3)+(b+3)/(b-3));
3) (1/(a^2-4ab+4b^2 )-1/(4b^2-a^2 )) : 2a/(a^2-4b^2 );
4) ((2x+1)/(x^2+6x+9)-(x-2)/(x^2+3x)) : (x^2+6)/(x^3-9x).
*размещая тексты в комментариях ниже, вы автоматически соглашаетесь с пользовательским соглашением