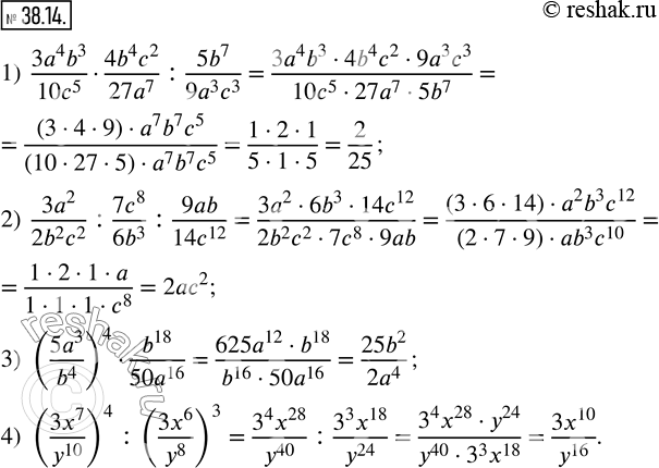
Упр.38.14 ГДЗ Мерзляк Поляков 7 класс (Алгебра)
Решение #1

Рассмотрим вариант решения задания из учебника Мерзляк, Поляков 7 класс, Вентана-Граф:
38.14. Упростите выражение:
1) (3a^4 b^3)/(10c^5 )·(4b^4 c^2)/(27a^7 ) : (5b^7)/(9a^3 c^3 );
2) (3a^2)/(2b^2 c^2 ) : (7c^8)/(6b^3 ) : 9ab/(14c^12 );
3) ((5a^3)/b^4 )^4·b^18/(50a^16 );
4) ((3x^7)/y^10 )^4 : ((3x^6)/y^8 )^3.
*размещая тексты в комментариях ниже, вы автоматически соглашаетесь с пользовательским соглашением