Упр.363 ГДЗ Дорофеев Шарыгин 6 класс (Математика)
Решение #1

Рассмотрим вариант решения задания из учебника Дорофеев, Шарыгин, Суворова 6 класс, Просвещение:
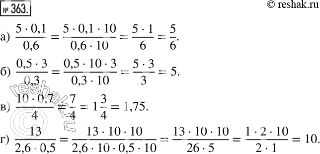
363. Вычислите:
а) (5 * 0,1)/0,6;
б) (0,5 * 3)/0,3;
в) (10 * 0,7)/4;
г) 13/(2,6 * 0,5).
Образец. Найдём значение выражения (1,4 * 0,2)/2,1. Для этого преобразуем выражение так, чтобы в числителе и знаменателе были натуральные числа:
(1,4 * 0,2)/2,1 = (1,4 * 10 * 0,2 * 10)/(2,1 * 100) = (14 * 2)/(21 * 10) = 2/15.
*размещая тексты в комментариях ниже, вы автоматически соглашаетесь с пользовательским соглашением