Упр.36.7 ГДЗ Мерзляк 10 класс Базовый уровень (Алгебра)
Решение #1

Рассмотрим вариант решения задания из учебника Мерзляк, Номировский, Полонский 10 класс, Вентана-Граф:
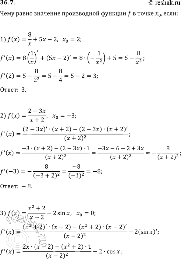
36.7. Чему равно значение производной функции f в точке x_0, если:
1) f(x)=8/x+5x-2, x_0=2; 4) f(x)=(1+3x)vx, x_0=9;
2) f(x)=(2-3x)/(x+2), x_0=-3; 5) f(x)=3(x^(1/3))-10(x^(1/5)), x_0=1;
3) f(x)=(x^2+2)/(x-2)-2sin(x), x_0=0; 6) f(x)=x sin(x), x_0=0?
*размещая тексты в комментариях ниже, вы автоматически соглашаетесь с пользовательским соглашением