Упр.351 ГДЗ Дорофеев Суворова 7 класс (Алгебра)
Решение #1

Рассмотрим вариант решения задания из учебника Дорофеев, Суворова, Бунимович 10-11 класс, Просвещение:
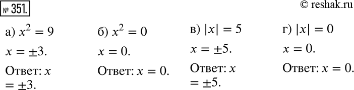
Рассуждаем Решите уравнение:
а) х2 = 9;
б) х2 = 0;
в) |x| = 5;
г) |х| = 0.
*размещая тексты в комментариях ниже, вы автоматически соглашаетесь с пользовательским соглашением