Упр.345 ГДЗ Дорофеев Суворова 8 класс (Алгебра)
Решение #1

Рассмотрим вариант решения задания из учебника Дорофеев, Суворова, Бунимович 8 класс, Просвещение:
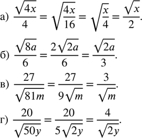
345. Сократите дробь:
а) v4x/4;
б) v8a/6;
в) 27/v81m;
г) 20/v50y.
*размещая тексты в комментариях ниже, вы автоматически соглашаетесь с пользовательским соглашением