Упр.337 ГДЗ Колягин Ткачёва 7 класс (Алгебра)
Решение #1

Рассмотрим вариант решения задания из учебника Колягин, Ткачёва, Фёдорова 7 класс, Просвещение:
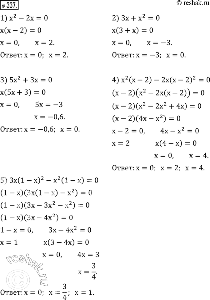
337. Решить уравнение:
1) x^2-2x=0;
2) 3x+x^2=0;
3) 5x^2+3x=0;
4) x^2 (x-2)-2x(x-2)^2=0;
5) 3x(1-x)^2-x^2 (1-x)=0.
*размещая тексты в комментариях ниже, вы автоматически соглашаетесь с пользовательским соглашением