Упр.329 ГДЗ Колягин Ткачёва 7 класс (Алгебра)
Решение #1

Рассмотрим вариант решения задания из учебника Колягин, Ткачёва, Фёдорова 7 класс, Просвещение:
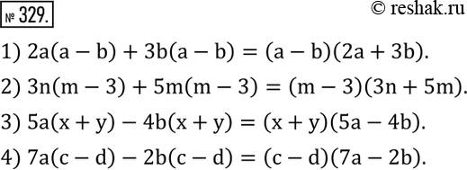
329. Разложить на множители:
1) 2a(a-b)+3b(a-b);
2) 3n(m-3)+5m(m-3);
3) 5a(x+y)-4b(x+y);
4) 7a(c-d)-2b(c-d).
*размещая тексты в комментариях ниже, вы автоматически соглашаетесь с пользовательским соглашением