Упр.312 ГДЗ Колягин Ткачёва 7 класс (Алгебра)
Решение #1

Рассмотрим вариант решения задания из учебника Колягин, Ткачёва, Фёдорова 7 класс, Просвещение:
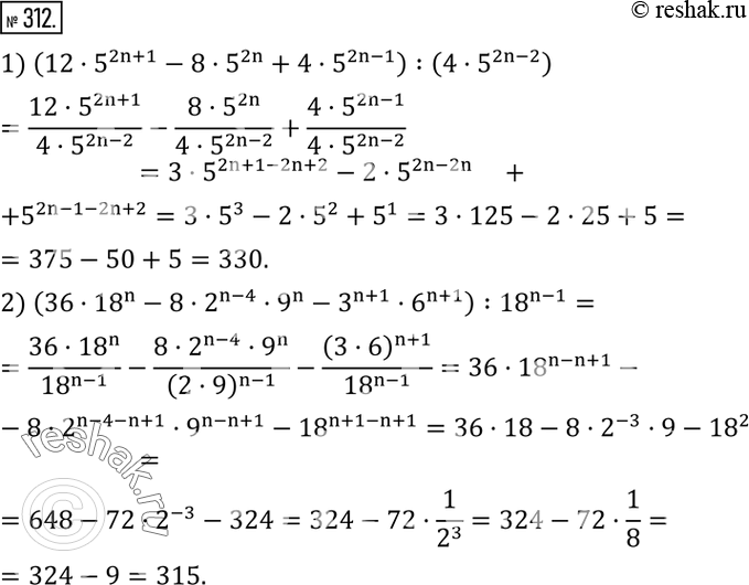
312. Упростить (n - натуральное число, n>4):
1) (12•5^(2n+1)-8•5^2n+4•5^(2n-1) ) :(4•5^(2n-2) );
2) (36•?18?^n-8•2^(n-4)•9^n-3^(n+1)•6^(n+1) ) :?18?^(n-1).
*размещая тексты в комментариях ниже, вы автоматически соглашаетесь с пользовательским соглашением