Упр.310 ГДЗ Никольский Потапов 9 класс (Алгебра)
Решение #1
Решение #2
Рассмотрим вариант решения задания из учебника Никольский, Потапов 9 класс, Просвещение:
Упростите выражение (310—311).
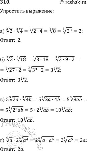
310.
а) Корень третьей степени из 2 * корень третьей степени из 4
б) Корень третьей степени из 3 * корень третьей степени из 18
в) 5*Корень третьей степени из (2*а)* корень третьей степени из (4*b)
г) Корень пятой степени из а * 2* корень пятой степени из a^4
*размещая тексты в комментариях ниже, вы автоматически соглашаетесь с пользовательским соглашением