Упр.310 ГДЗ Муравин 7 класс (Алгебра)
Решение #1

Рассмотрим вариант решения задания из учебника Муравин, Муравина 7 класс, Дрофа:
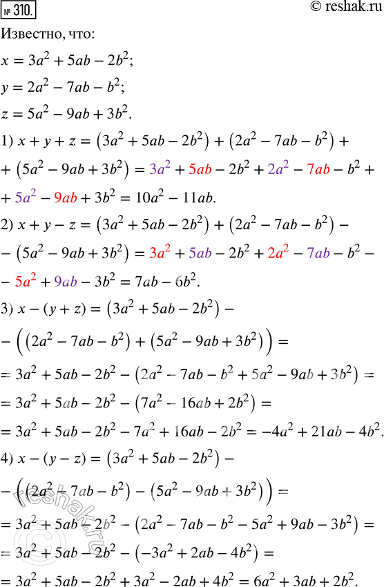
310. Известно, что х = 3а^2 + 5ab - 2b^2; у = 2а^2 - 7аb - b^2, z = 5а^2 - 9аb - 3b^2. Подставьте эти многочлены в выражение:
1) х + у + z; 3) x - (y + z);
2) х + у - z; 4) x - (y - z).
Преобразуйте полученное выражение в многочлен стандартного вида.
*размещая тексты в комментариях ниже, вы автоматически соглашаетесь с пользовательским соглашением