Упр.304 ГДЗ Дорофеев Суворова 8 класс (Алгебра)
Решение #1

Рассмотрим вариант решения задания из учебника Дорофеев, Суворова, Бунимович 8 класс, Просвещение:
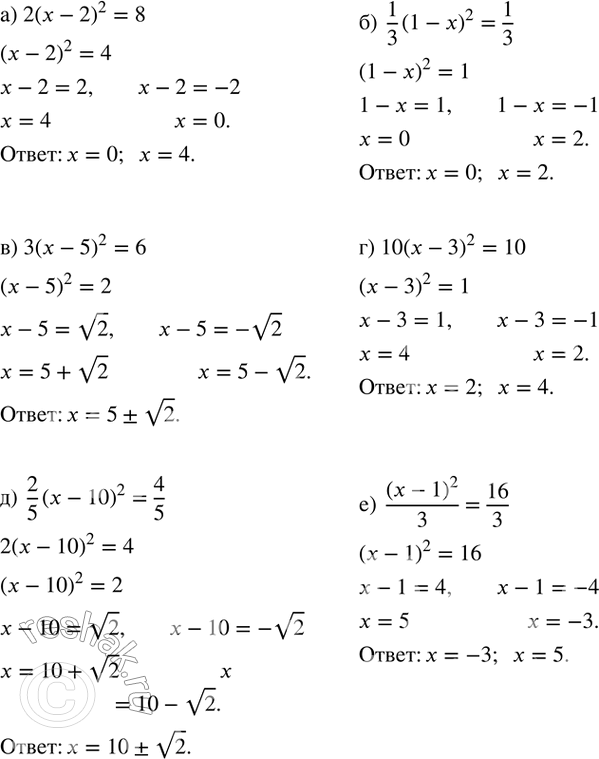
304. Решите уравнение:
а) 2(x-2)^2=8;
б) 1/3 (1-x)^2=1/3;
в) 3(x-5)^2=6;
г) 10(x-3)^2=10;
д) 2/5 (x-10)^2=4/5;
е) (x-1)^2/3=16/3.
*размещая тексты в комментариях ниже, вы автоматически соглашаетесь с пользовательским соглашением