Упр.30 ГДЗ Дорофеев Суворова 7 класс (Алгебра)
Решение #1

Рассмотрим вариант решения задания из учебника Дорофеев, Суворова, Бунимович 10-11 класс, Просвещение:
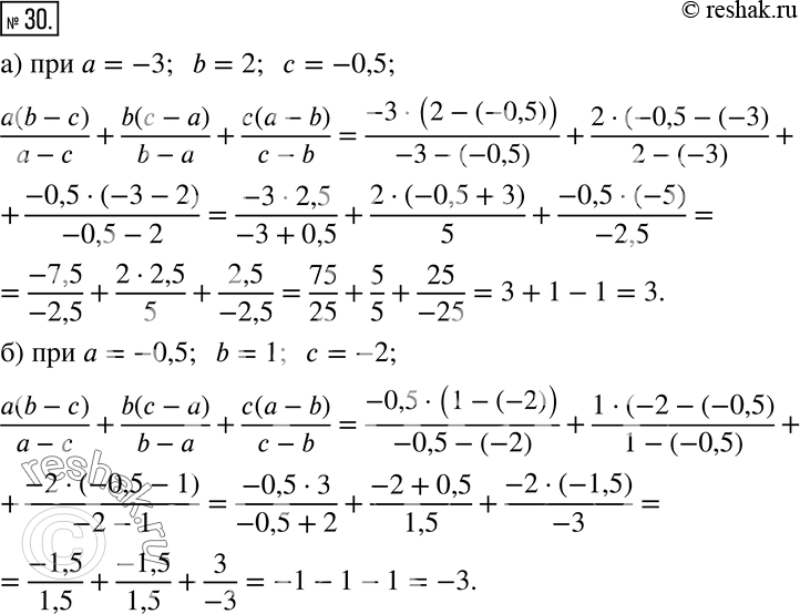
30 Найдите значение выражения (a(b-c))/a-c) + (b(c-a))/(b-a) + (c(a-b))/(c-b) при:
а) а — -3, b = 2, с = -0,5;
б) а = -0,5, b = 1, с = -2.
*размещая тексты в комментариях ниже, вы автоматически соглашаетесь с пользовательским соглашением