Упр.28 ГДЗ Никольский Потапов 8 класс (Алгебра)
Решение #1

Рассмотрим вариант решения задания из учебника Никольский, Потапов 8 класс, Просвещение:
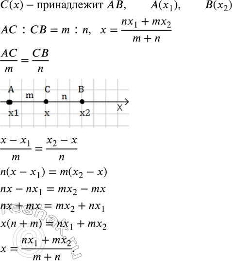
28. Докажите, что если точка С(x) принадлежит отрезку АВ, где А(х1) и В(x2), и делит этот отрезок в отношении АС : СВ = = m : n, то координата точки С вычисляется по формуле x=(nx1+mx2)/(m+n).
*размещая тексты в комментариях ниже, вы автоматически соглашаетесь с пользовательским соглашением