Упр.26.27 ГДЗ Мерзляк Поляков 7 класс (Алгебра)
Решение #1

Рассмотрим вариант решения задания из учебника Мерзляк, Поляков 7 класс, Вентана-Граф:
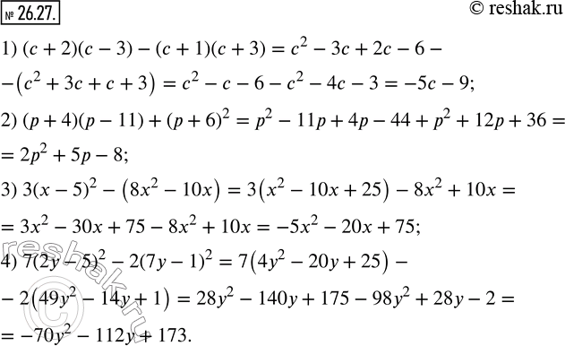
26.27. Упростите выражение:
1) (c+2)(c-3)-(c+1)(c+3);
2) (p+4)(p-11)+(p+6)^2;
3) 3(x-5)^2-(8x^2-10x);
4) 7(2y-5)^2-2(7y-1)^2.
*размещая тексты в комментариях ниже, вы автоматически соглашаетесь с пользовательским соглашением