Упр.258 ГДЗ Колягин Ткачёва 7 класс (Алгебра)
Решение #1

Рассмотрим вариант решения задания из учебника Колягин, Ткачёва, Фёдорова 7 класс, Просвещение:
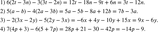
258. Упростить выражение:
1) 6(2t-3n)-3(3t-2n);
2) 5(a-b)-4(2a-3b);
3) -2(3x-2y)-5(2y-3x);
4) 7(4p+3)-6(5+7p).
*размещая тексты в комментариях ниже, вы автоматически соглашаетесь с пользовательским соглашением