Упр.251 ГДЗ Муравин 7 класс (Алгебра)
Решение #1

Рассмотрим вариант решения задания из учебника Муравин, Муравина 7 класс, Дрофа:
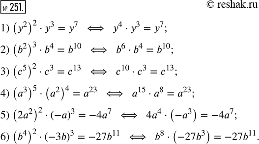
251. Вставьте пропущенные выражения так, чтобы получилось тождество:
1) (...)^2 · (...)^3 = y^7; 4) (...)^5 · (...)^4 = а^23;
2) (...)^3 · (...)^4 = b^10; 5) (...)^2 · (...)^3 = -4а^7;
3) (...)^2 · (...)^3 = с^13; б) (...)^2 · (...)^3 = -27b^11.
*размещая тексты в комментариях ниже, вы автоматически соглашаетесь с пользовательским соглашением